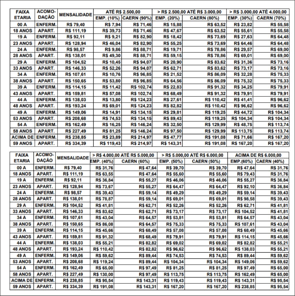
Notícias Nova tabela do plano de saúde 30 de novembro de 2020 sindaguarn Tabela do Plano de Saúde dos Empregados da CAERN atualizada a partir de 03/11/2020.